Norm Of Orthogonal Matrix Is 1 . These properties have found numerous applications in data. If k = n, that is, u is. A set of (nonzero) vectors s is orthogonal if. de nition 2 the matrix u = (u1;u2;:::;uk) ∈ rn×k whose columns form an orthonormal set is said to be left orthogonal. matrices with orthonormal columns are a new class of important matri ces to add to those on our list: Kaxk kxk is never larger than kak (its maximum). if x is an arbitrary n × n matrix and a is an arbitrary orthogonal n × n matrix, is it true that ‖ax‖p = ‖x‖p. Every x ∈ x is orthogonal to every y ∈ y. the operator norm $$ \|a\|=\max\{\|ax\|_2:\ \|x\|=1\}, $$ where $\|\cdot\|_2$ is the euclidean norm, also satisfies those two. the norm of a is the largest ratio kaxk kxk: For all p ∈ z + ∪ ∞,. the sets of vectors x, y are orthogonal if.
from www.youtube.com
de nition 2 the matrix u = (u1;u2;:::;uk) ∈ rn×k whose columns form an orthonormal set is said to be left orthogonal. matrices with orthonormal columns are a new class of important matri ces to add to those on our list: the sets of vectors x, y are orthogonal if. These properties have found numerous applications in data. the norm of a is the largest ratio kaxk kxk: Kaxk kxk is never larger than kak (its maximum). A set of (nonzero) vectors s is orthogonal if. For all p ∈ z + ∪ ∞,. If k = n, that is, u is. Every x ∈ x is orthogonal to every y ∈ y.
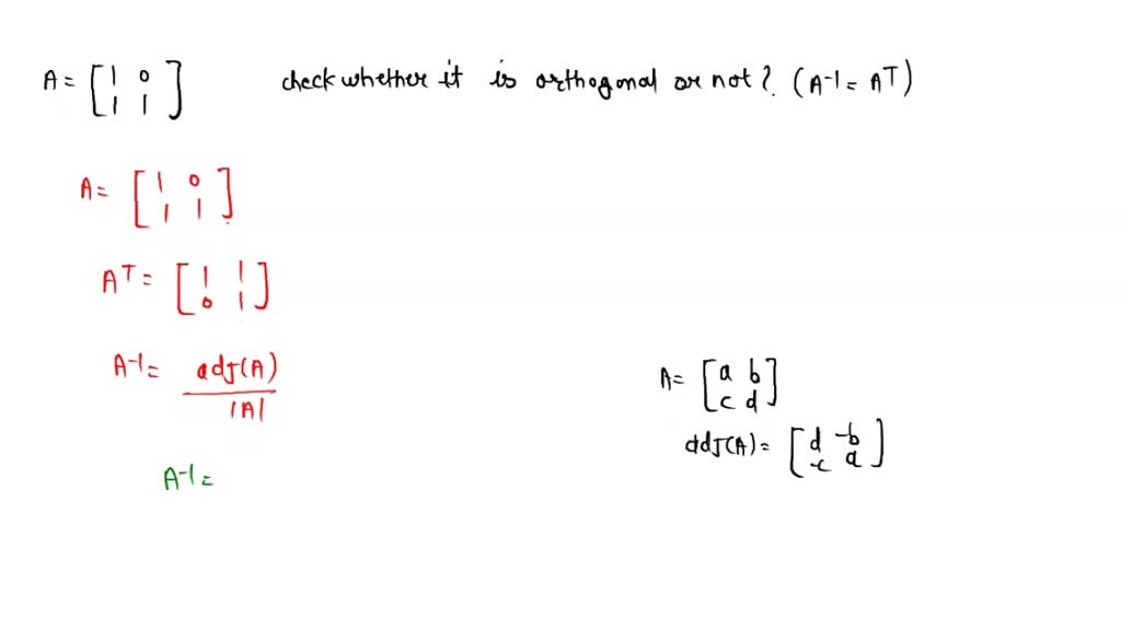
Properties of Orthogonal Matrix Example1 YouTube
Norm Of Orthogonal Matrix Is 1 Every x ∈ x is orthogonal to every y ∈ y. the norm of a is the largest ratio kaxk kxk: the operator norm $$ \|a\|=\max\{\|ax\|_2:\ \|x\|=1\}, $$ where $\|\cdot\|_2$ is the euclidean norm, also satisfies those two. Kaxk kxk is never larger than kak (its maximum). de nition 2 the matrix u = (u1;u2;:::;uk) ∈ rn×k whose columns form an orthonormal set is said to be left orthogonal. For all p ∈ z + ∪ ∞,. the sets of vectors x, y are orthogonal if. Every x ∈ x is orthogonal to every y ∈ y. These properties have found numerous applications in data. If k = n, that is, u is. A set of (nonzero) vectors s is orthogonal if. if x is an arbitrary n × n matrix and a is an arbitrary orthogonal n × n matrix, is it true that ‖ax‖p = ‖x‖p. matrices with orthonormal columns are a new class of important matri ces to add to those on our list:
From www.vrogue.co
Standard Matrix Of A Orthogonal Projection Linear Tra vrogue.co Norm Of Orthogonal Matrix Is 1 de nition 2 the matrix u = (u1;u2;:::;uk) ∈ rn×k whose columns form an orthonormal set is said to be left orthogonal. if x is an arbitrary n × n matrix and a is an arbitrary orthogonal n × n matrix, is it true that ‖ax‖p = ‖x‖p. the sets of vectors x, y are orthogonal if.. Norm Of Orthogonal Matrix Is 1.
From www.youtube.com
Numerical Methods Vector and Matrix Norms YouTube Norm Of Orthogonal Matrix Is 1 matrices with orthonormal columns are a new class of important matri ces to add to those on our list: de nition 2 the matrix u = (u1;u2;:::;uk) ∈ rn×k whose columns form an orthonormal set is said to be left orthogonal. If k = n, that is, u is. the operator norm $$ \|a\|=\max\{\|ax\|_2:\ \|x\|=1\}, $$ where. Norm Of Orthogonal Matrix Is 1.
From oneclass.com
OneClass Determine whether the given matrix is orthogonal. 12 3 4 The Norm Of Orthogonal Matrix Is 1 matrices with orthonormal columns are a new class of important matri ces to add to those on our list: the sets of vectors x, y are orthogonal if. if x is an arbitrary n × n matrix and a is an arbitrary orthogonal n × n matrix, is it true that ‖ax‖p = ‖x‖p. de nition. Norm Of Orthogonal Matrix Is 1.
From medium.com
[Linear Algebra] 9. Properties of orthogonal matrices by jun94 jun Norm Of Orthogonal Matrix Is 1 if x is an arbitrary n × n matrix and a is an arbitrary orthogonal n × n matrix, is it true that ‖ax‖p = ‖x‖p. matrices with orthonormal columns are a new class of important matri ces to add to those on our list: the norm of a is the largest ratio kaxk kxk: Kaxk kxk. Norm Of Orthogonal Matrix Is 1.
From www.numerade.com
SOLVEDDetermine whether the matrix is orthogonal. An invertible square Norm Of Orthogonal Matrix Is 1 If k = n, that is, u is. A set of (nonzero) vectors s is orthogonal if. the operator norm $$ \|a\|=\max\{\|ax\|_2:\ \|x\|=1\}, $$ where $\|\cdot\|_2$ is the euclidean norm, also satisfies those two. These properties have found numerous applications in data. the norm of a is the largest ratio kaxk kxk: Kaxk kxk is never larger than. Norm Of Orthogonal Matrix Is 1.
From debmoran.blogspot.com
Matrix Norm Explained Deb Moran's Multiplying Matrices Norm Of Orthogonal Matrix Is 1 matrices with orthonormal columns are a new class of important matri ces to add to those on our list: A set of (nonzero) vectors s is orthogonal if. if x is an arbitrary n × n matrix and a is an arbitrary orthogonal n × n matrix, is it true that ‖ax‖p = ‖x‖p. the operator norm. Norm Of Orthogonal Matrix Is 1.
From www.numerade.com
SOLVED Constructing an Orthogona Matrix Example we verified that the Norm Of Orthogonal Matrix Is 1 matrices with orthonormal columns are a new class of important matri ces to add to those on our list: These properties have found numerous applications in data. the operator norm $$ \|a\|=\max\{\|ax\|_2:\ \|x\|=1\}, $$ where $\|\cdot\|_2$ is the euclidean norm, also satisfies those two. For all p ∈ z + ∪ ∞,. the sets of vectors x,. Norm Of Orthogonal Matrix Is 1.
From www.youtube.com
Orthogonal Matrix example YouTube Norm Of Orthogonal Matrix Is 1 the operator norm $$ \|a\|=\max\{\|ax\|_2:\ \|x\|=1\}, $$ where $\|\cdot\|_2$ is the euclidean norm, also satisfies those two. the norm of a is the largest ratio kaxk kxk: the sets of vectors x, y are orthogonal if. A set of (nonzero) vectors s is orthogonal if. These properties have found numerous applications in data. if x is. Norm Of Orthogonal Matrix Is 1.
From dxooubuml.blob.core.windows.net
What Is A Orthogonal Matrix Definition at Richard Spencer blog Norm Of Orthogonal Matrix Is 1 if x is an arbitrary n × n matrix and a is an arbitrary orthogonal n × n matrix, is it true that ‖ax‖p = ‖x‖p. These properties have found numerous applications in data. the sets of vectors x, y are orthogonal if. Every x ∈ x is orthogonal to every y ∈ y. Kaxk kxk is never. Norm Of Orthogonal Matrix Is 1.
From www.numerade.com
SOLVED 3. SVD (a) Consider the matrix 1 A = Observe that the columns Norm Of Orthogonal Matrix Is 1 For all p ∈ z + ∪ ∞,. the operator norm $$ \|a\|=\max\{\|ax\|_2:\ \|x\|=1\}, $$ where $\|\cdot\|_2$ is the euclidean norm, also satisfies those two. Every x ∈ x is orthogonal to every y ∈ y. if x is an arbitrary n × n matrix and a is an arbitrary orthogonal n × n matrix, is it true. Norm Of Orthogonal Matrix Is 1.
From datingluda.weebly.com
Orthogonal matrix datingluda Norm Of Orthogonal Matrix Is 1 For all p ∈ z + ∪ ∞,. These properties have found numerous applications in data. Every x ∈ x is orthogonal to every y ∈ y. If k = n, that is, u is. if x is an arbitrary n × n matrix and a is an arbitrary orthogonal n × n matrix, is it true that ‖ax‖p. Norm Of Orthogonal Matrix Is 1.
From rilohs.weebly.com
Orthogonal matrix rilohs Norm Of Orthogonal Matrix Is 1 A set of (nonzero) vectors s is orthogonal if. For all p ∈ z + ∪ ∞,. These properties have found numerous applications in data. the norm of a is the largest ratio kaxk kxk: matrices with orthonormal columns are a new class of important matri ces to add to those on our list: Every x ∈ x. Norm Of Orthogonal Matrix Is 1.
From cedfxpbf.blob.core.windows.net
Matrix Orthogonal Prove at Debra Cox blog Norm Of Orthogonal Matrix Is 1 de nition 2 the matrix u = (u1;u2;:::;uk) ∈ rn×k whose columns form an orthonormal set is said to be left orthogonal. Every x ∈ x is orthogonal to every y ∈ y. the norm of a is the largest ratio kaxk kxk: the sets of vectors x, y are orthogonal if. A set of (nonzero) vectors. Norm Of Orthogonal Matrix Is 1.
From www.youtube.com
Orthogonal Matrix What is orthogonal Matrix How to prove Orthogonal Norm Of Orthogonal Matrix Is 1 Kaxk kxk is never larger than kak (its maximum). A set of (nonzero) vectors s is orthogonal if. matrices with orthonormal columns are a new class of important matri ces to add to those on our list: For all p ∈ z + ∪ ∞,. the sets of vectors x, y are orthogonal if. Every x ∈ x. Norm Of Orthogonal Matrix Is 1.
From statisticsglobe.com
How to Calculate the Norm of a Matrix in R (5 Examples) norm() Function Norm Of Orthogonal Matrix Is 1 For all p ∈ z + ∪ ∞,. the norm of a is the largest ratio kaxk kxk: Kaxk kxk is never larger than kak (its maximum). the sets of vectors x, y are orthogonal if. de nition 2 the matrix u = (u1;u2;:::;uk) ∈ rn×k whose columns form an orthonormal set is said to be left. Norm Of Orthogonal Matrix Is 1.
From www.youtube.com
Properties of Orthogonal Matrix Example1 YouTube Norm Of Orthogonal Matrix Is 1 For all p ∈ z + ∪ ∞,. the operator norm $$ \|a\|=\max\{\|ax\|_2:\ \|x\|=1\}, $$ where $\|\cdot\|_2$ is the euclidean norm, also satisfies those two. Every x ∈ x is orthogonal to every y ∈ y. the sets of vectors x, y are orthogonal if. matrices with orthonormal columns are a new class of important matri ces. Norm Of Orthogonal Matrix Is 1.
From dxofuolpl.blob.core.windows.net
Orthogonal Matrix And Orthonormal Matrix at Diane Fisher blog Norm Of Orthogonal Matrix Is 1 if x is an arbitrary n × n matrix and a is an arbitrary orthogonal n × n matrix, is it true that ‖ax‖p = ‖x‖p. These properties have found numerous applications in data. matrices with orthonormal columns are a new class of important matri ces to add to those on our list: If k = n, that. Norm Of Orthogonal Matrix Is 1.
From www.slideserve.com
PPT ENGG2013 Unit 19 The principal axes theorem PowerPoint Norm Of Orthogonal Matrix Is 1 de nition 2 the matrix u = (u1;u2;:::;uk) ∈ rn×k whose columns form an orthonormal set is said to be left orthogonal. if x is an arbitrary n × n matrix and a is an arbitrary orthogonal n × n matrix, is it true that ‖ax‖p = ‖x‖p. the operator norm $$ \|a\|=\max\{\|ax\|_2:\ \|x\|=1\}, $$ where $\|\cdot\|_2$. Norm Of Orthogonal Matrix Is 1.